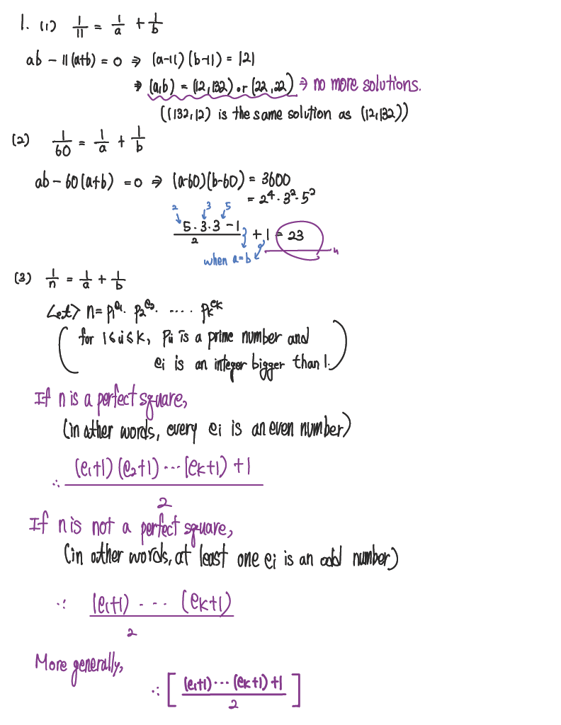
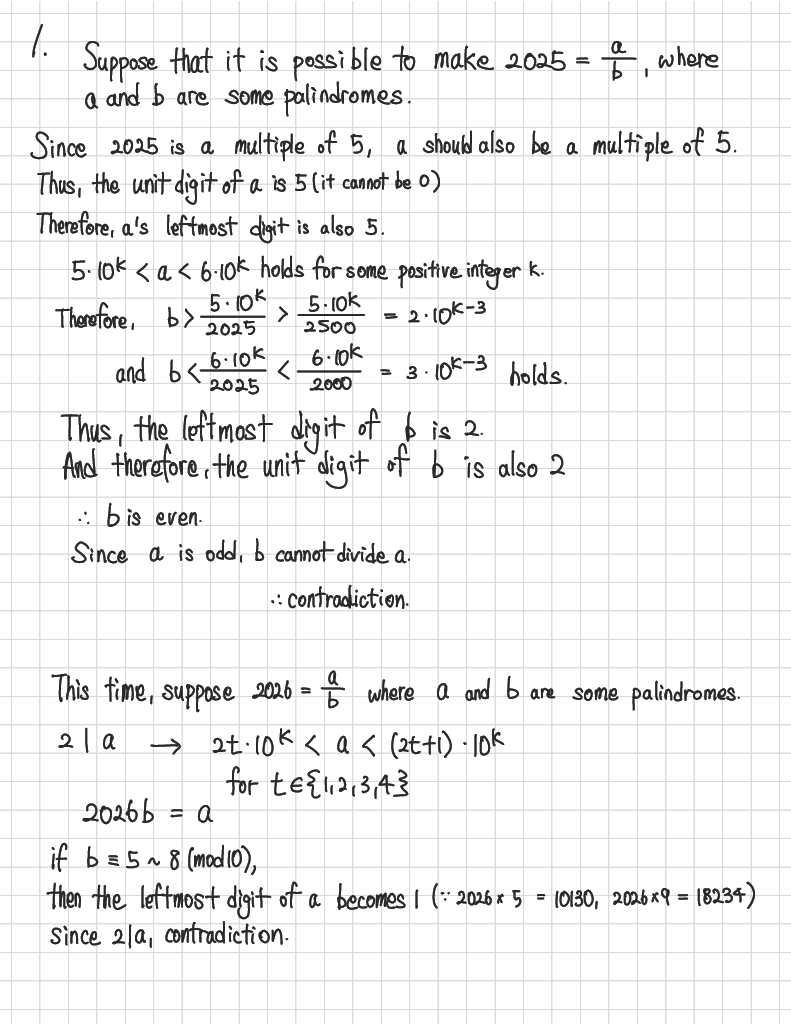
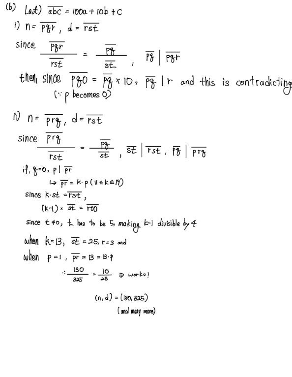
Canada/USA Mathcamp View 2025 Canada/USA Math Camp Solution 🡵 SUMAC: Stanford University Mathematics Camp View 2024 SUMAC Solution 🡵 View 2025 SUMAC Solution 🡵 PROMYS: Program in Mathematics for Young Scientists View 2024 PROMYS Solution 🡵 View 2025 PROMYS Solution 🡵